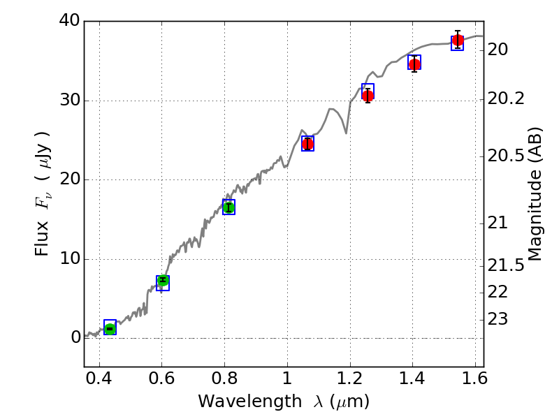
ABELL1300 IR detection object #669

Color images and BPZ results
Catalog: 669.cat
Black segments are analyzed here.   Roll mouse over color images to view segments.
Best viewed in a wide browser window (1200 pixels or more).   Download SED & P(z) plots to view larger versions.
In P(z) plots: Yellow lines mark the cluster redshift z = 0.307,  

Object #669   x,y = (3286, 2146)   RA, Dec = (11:31:51.024, -19:55:44.04) = (172.96260, -19.92890)   BPZ = 0.391 [0.285--0.424]   type = 3.60 (Ell4_A_0 - Ell5_A_0)   chisq2 = 0.03   ODDS = 0.80   z_cluster = 0.307