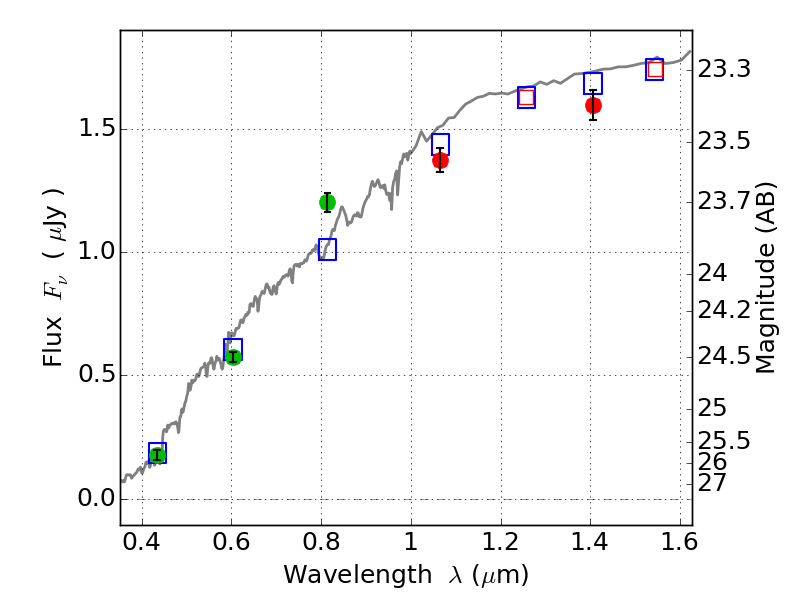
ABELL1300 IR detection object #347

Color images and BPZ results
Catalog: 347.cat
Black segments are analyzed here.   Roll mouse over color images to view segments.
Best viewed in a wide browser window (1200 pixels or more).   Download SED & P(z) plots to view larger versions.
In P(z) plots: Yellow lines mark the cluster redshift z = 0.307,  

Object #347   x,y = (3300, 2801)   RA, Dec = (11:31:50.952, -19:55:04.80) = (172.96230, -19.91800)   BPZ = 0.125 [0.056--0.443]   type = 4.00 (Ell4_A_0)   chisq2 = 1.59   ODDS = 0.79   z_cluster = 0.307