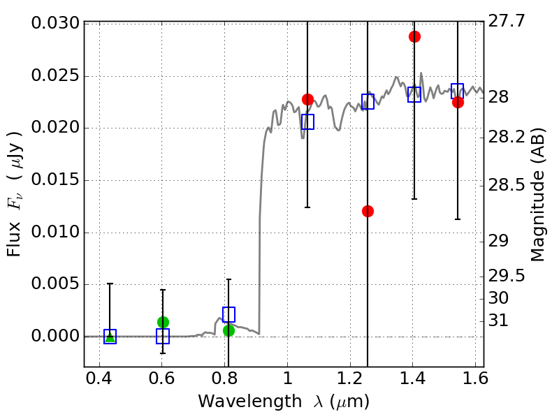
ABELL1300 IR detection object #883

Color images and BPZ results
Catalog: 883.cat
Black segments are analyzed here.   Roll mouse over color images to view segments.
Best viewed in a wide browser window (1200 pixels or more).   Download SED & P(z) plots to view larger versions.
In P(z) plots: Yellow lines mark the cluster redshift z = 0.307,  

Object #883   x,y = (3614, 1820)   RA, Dec = (11:31:49.632, -19:56:03.84) = (172.95680, -19.93440)   BPZ = 6.498 [0.688--8.488]   type = 9.30 (SB2_B10 - SB3_B10)   stellarity = 0.58   chisq2 = 0.18   ODDS = 0.17   z_cluster = 0.307