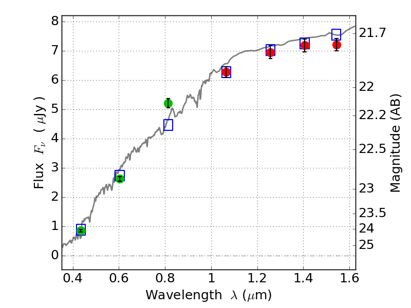
ABELL1300 IR detection object #508

Color images and BPZ results
Catalog: 508.cat
Black segments are analyzed here.   Roll mouse over color images to view segments.
Best viewed in a wide browser window (1200 pixels or more).   Download SED & P(z) plots to view larger versions.
In P(z) plots: Yellow lines mark the cluster redshift z = 0.307,  

Object #508   x,y = (3087, 2476)   RA, Dec = (11:31:51.864, -19:55:24.24) = (172.96610, -19.92340)   BPZ = 0.096 [0.054--0.125]   type = 4.00 (Ell4_A_0)   stellarity = 0.98   chisq2 = 0.62   ODDS = 0.98   z_cluster = 0.307