ABELL1300 IR detection object #492

Color images and BPZ results
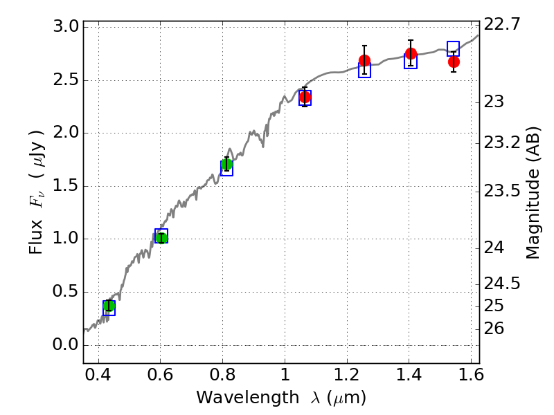
Catalog: 492.cat
Black segments are analyzed here.   Roll mouse over color images to view segments.
Best viewed in a wide browser window (1200 pixels or more).   Download SED & P(z) plots to view larger versions.
In P(z) plots: Yellow lines mark the cluster redshift z = 0.307,  

Object #492   x,y = (1960, 2468)   RA, Dec = (11:31:56.664, -19:55:24.60) = (172.98610, -19.92350)   BPZ = 0.086 [0.045--0.540]   type = 4.00 (Ell4_A_0)   stellarity = 0.00   chisq2 = 0.19   ODDS = 0.33   z_cluster = 0.307