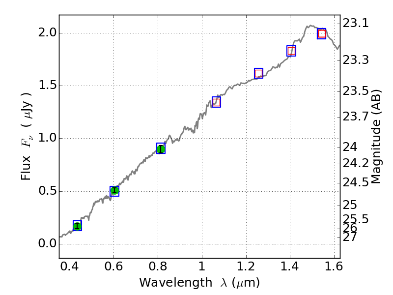
ABELL1300 ACS+IR detection object #956

Color images and BPZ results
Catalog: 956.cat
Black segments are analyzed here.   Roll mouse over color images to view segments.
Best viewed in a wide browser window (1200 pixels or more).   Download SED & P(z) plots to view larger versions.
In P(z) plots: Yellow lines mark the cluster redshift z = 0.307,  

Object #956   x,y = (1217, 3515)   RA, Dec = (11:31:59.808, -19:54:21.96) = (172.99920, -19.90610)   BPZ = 0.127 [0.056--3.279]   type = 5.60 (Sbc_B10 - ES0_B10)   chisq2 = 0.01   ODDS = 0.40   z_cluster = 0.307