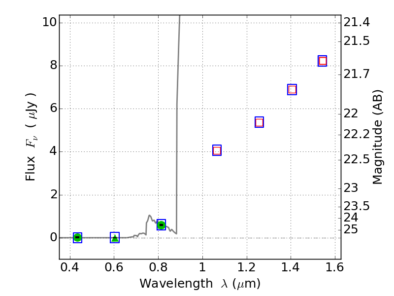
ABELL1300 ACS+IR detection object #763

Color images and BPZ results
Catalog: 763.cat
Black segments are analyzed here.   Roll mouse over color images to view segments.
Best viewed in a wide browser window (1200 pixels or more).   Download SED & P(z) plots to view larger versions.
In P(z) plots: Yellow lines mark the cluster redshift z = 0.307,  

Object #763   x,y = (3848, 3728)   RA, Dec = (11:31:48.624, -19:54:09.00) = (172.95260, -19.90250)   BPZ = 6.275 [5.886--8.975]   type = 6.00 (Sbc_B10)   chisq2 = 0.00   ODDS = 0.38   z_cluster = 0.307