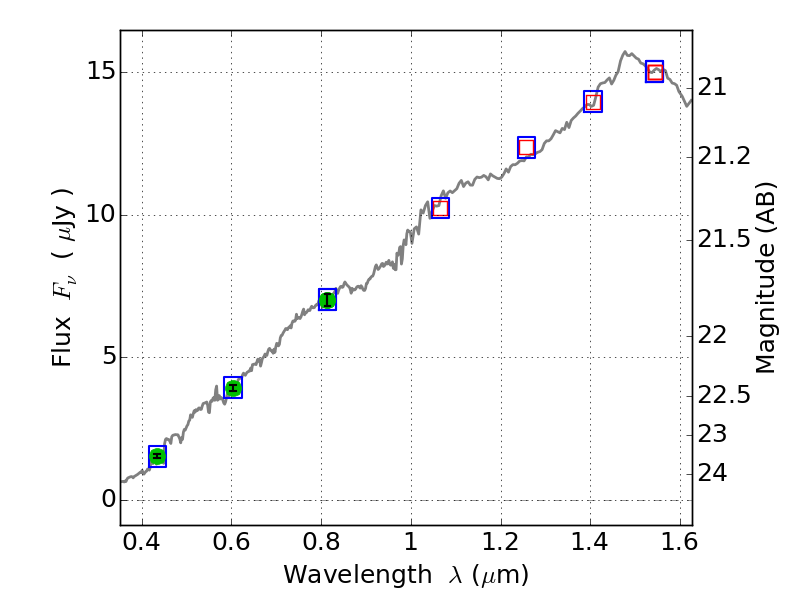
ABELL1300 ACS+IR detection object #650
Color images and BPZ results
Catalog: 650.cat
Black segments are analyzed here. Roll mouse over color images to view segments.
Best viewed in a wide browser window (1200 pixels or more). Download SED & P(z) plots to view larger versions.
In P(z) plots: Yellow lines mark the cluster redshift z = 0.307,
Object #650 x,y = (2946, 3692) RA, Dec = (11:31:52.464, -19:54:11.52) = (172.96860, -19.90320) BPZ = 0.128 [0.033--0.501] type = 6.00 (Sbc_B10) chisq2 = 0.00 ODDS = 0.26 z_cluster = 0.307