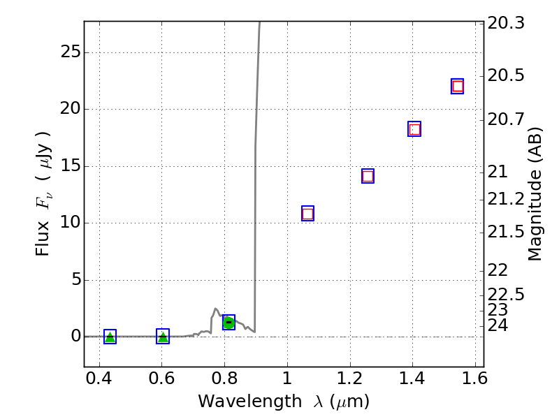
ABELL1300 ACS+IR detection object #5410

Color images and BPZ results
Catalog: 5410.cat
Black segments are analyzed here.   Roll mouse over color images to view segments.
Best viewed in a wide browser window (1200 pixels or more).   Download SED & P(z) plots to view larger versions.
In P(z) plots: Yellow lines mark the cluster redshift z = 0.307,  

Object #5410   x,y = (1410, 459)   RA, Dec = (11:31:58.992, -19:57:25.20) = (172.99580, -19.95700)   BPZ = 6.385 [5.988--8.763]   type = 6.00 (Sbc_B10)   chisq2 = 0.00   ODDS = 0.43   z_cluster = 0.307