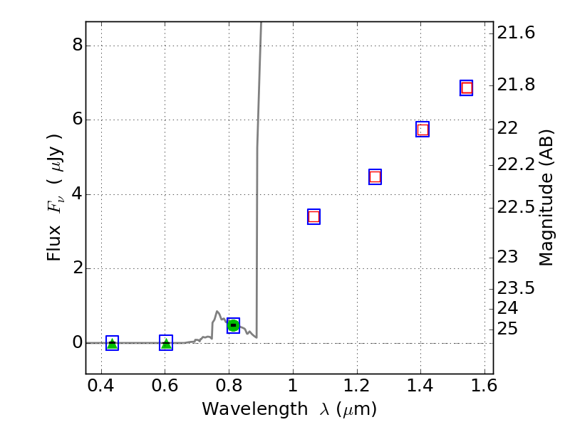
ABELL1300 ACS+IR detection object #5286

Color images and BPZ results
Catalog: 5286.cat
Black segments are analyzed here.   Roll mouse over color images to view segments.
Best viewed in a wide browser window (1200 pixels or more).   Download SED & P(z) plots to view larger versions.
In P(z) plots: Yellow lines mark the cluster redshift z = 0.307,  

Object #5286   x,y = (2431, 671)   RA, Dec = (11:31:54.648, -19:57:12.60) = (172.97770, -19.95350)   BPZ = 6.299 [5.960--9.003]   type = 6.00 (Sbc_B10)   chisq2 = 0.00   ODDS = 0.36   z_cluster = 0.307