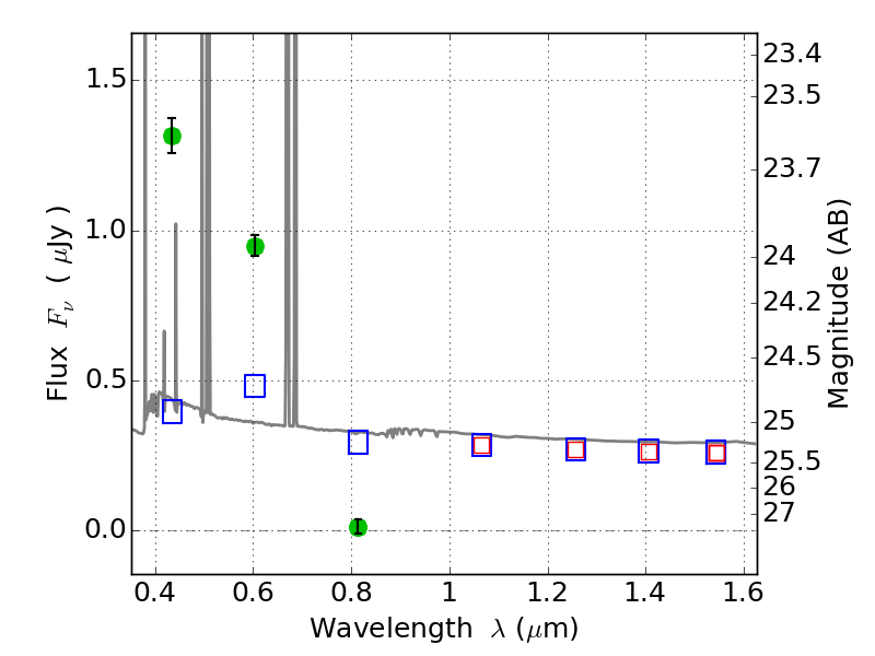
ABELL1300 ACS+IR detection object #5164

Color images and BPZ results
Catalog: 5164.cat
Black segments are analyzed here.   Roll mouse over color images to view segments.
Best viewed in a wide browser window (1200 pixels or more).   Download SED & P(z) plots to view larger versions.
In P(z) plots: Yellow lines mark the cluster redshift z = 0.307,  

Object #5164   x,y = (1276, 864)   RA, Dec = (11:31:59.568, -19:57:01.08) = (172.99820, -19.95030)   BPZ = 0.019 [0.010--0.032]   type = 11.00 (SB11_A_0_l)   chisq2 = 391.20   ODDS = 1.00   z_cluster = 0.307