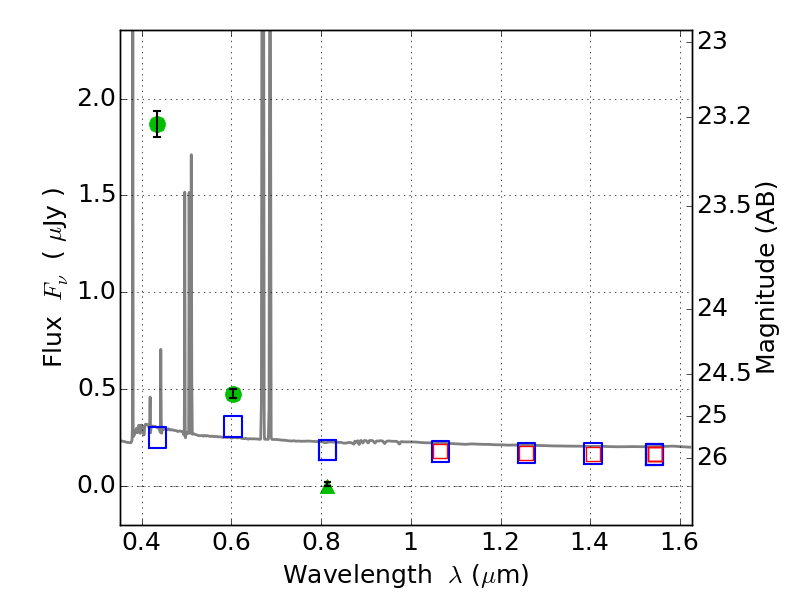
ABELL1300 ACS+IR detection object #5053

Color images and BPZ results
Catalog: 5053.cat
Black segments are analyzed here.   Roll mouse over color images to view segments.
Best viewed in a wide browser window (1200 pixels or more).   Download SED & P(z) plots to view larger versions.
In P(z) plots: Yellow lines mark the cluster redshift z = 0.307,  

Object #5053   x,y = (1191, 978)   RA, Dec = (11:31:59.928, -19:56:54.24) = (172.99970, -19.94840)   BPZ = 0.018 [0.010--0.038]   type = 11.00 (SB11_A_0_l)   chisq2 = 619.00   ODDS = 0.99   z_cluster = 0.307