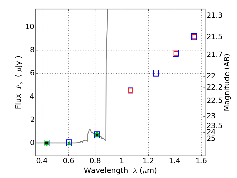
ABELL1300 ACS+IR detection object #4857

Color images and BPZ results
Catalog: 4857.cat
Black segments are analyzed here.   Roll mouse over color images to view segments.
Best viewed in a wide browser window (1200 pixels or more).   Download SED & P(z) plots to view larger versions.
In P(z) plots: Yellow lines mark the cluster redshift z = 0.307,  

Object #4857   x,y = (1144, 1157)   RA, Dec = (11:32:00.120, -19:56:43.44) = (173.00050, -19.94540)   BPZ = 6.255 [5.862--8.866]   type = 6.00 (Sbc_B10)   chisq2 = 0.00   ODDS = 0.39   z_cluster = 0.307