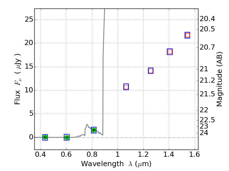
ABELL1300 ACS+IR detection object #4821

Color images and BPZ results
Catalog: 4821.cat
Black segments are analyzed here.   Roll mouse over color images to view segments.
Best viewed in a wide browser window (1200 pixels or more).   Download SED & P(z) plots to view larger versions.
In P(z) plots: Yellow lines mark the cluster redshift z = 0.307,  

Object #4821   x,y = (1136, 1182)   RA, Dec = (11:32:00.168, -19:56:42.00) = (173.00070, -19.94500)   BPZ = 6.278 [5.941--8.694]   type = 6.00 (Sbc_B10)   chisq2 = 0.00   ODDS = 0.45   z_cluster = 0.307