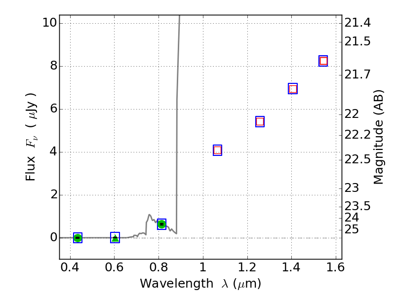
ABELL1300 ACS+IR detection object #4796
Color images and BPZ results
Catalog: 4796.cat
Black segments are analyzed here. Roll mouse over color images to view segments.
Best viewed in a wide browser window (1200 pixels or more). Download SED & P(z) plots to view larger versions.
In P(z) plots: Yellow lines mark the cluster redshift z = 0.307,
Object #4796 x,y = (1128, 1201) RA, Dec = (11:32:00.192, -19:56:40.92) = (173.00080, -19.94470) BPZ = 6.252 [5.842--8.892] type = 6.00 (Sbc_B10) chisq2 = 0.00 ODDS = 0.38 z_cluster = 0.307