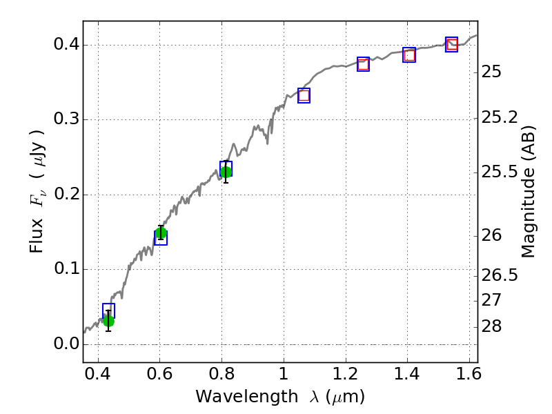
ABELL1300 ACS+IR detection object #4741

Color images and BPZ results
Catalog: 4741.cat
Black segments are analyzed here.   Roll mouse over color images to view segments.
Best viewed in a wide browser window (1200 pixels or more).   Download SED & P(z) plots to view larger versions.
In P(z) plots: Yellow lines mark the cluster redshift z = 0.307,  

Object #4741   x,y = (2496, 1249)   RA, Dec = (11:31:54.384, -19:56:38.04) = (172.97660, -19.94390)   BPZ = 0.114 [0.071--3.938]   type = 4.00 (Ell4_A_0)   chisq2 = 0.30   ODDS = 0.12   z_cluster = 0.307