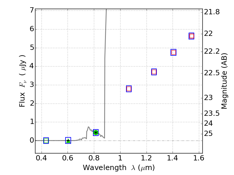
ABELL1300 ACS+IR detection object #4288

Color images and BPZ results
Catalog: 4288.cat
Black segments are analyzed here.   Roll mouse over color images to view segments.
Best viewed in a wide browser window (1200 pixels or more).   Download SED & P(z) plots to view larger versions.
In P(z) plots: Yellow lines mark the cluster redshift z = 0.307,  

Object #4288   x,y = (4781, 1571)   RA, Dec = (11:31:44.664, -19:56:18.60) = (172.93610, -19.93850)   BPZ = 6.249 [5.825--8.985]   type = 6.00 (Sbc_B10)   chisq2 = 0.00   ODDS = 0.37   z_cluster = 0.307