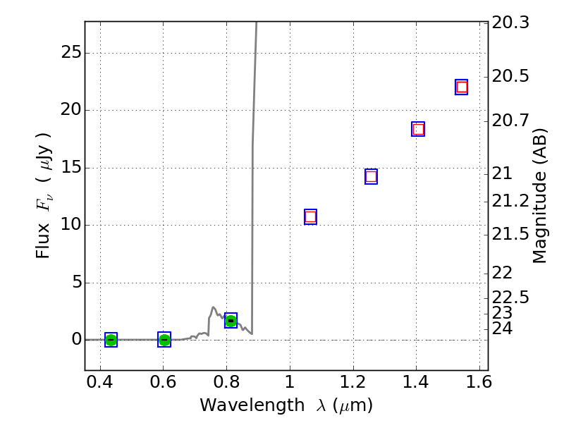
ABELL1300 ACS+IR detection object #4163

Color images and BPZ results
Catalog: 4163.cat
Black segments are analyzed here.   Roll mouse over color images to view segments.
Best viewed in a wide browser window (1200 pixels or more).   Download SED & P(z) plots to view larger versions.
In P(z) plots: Yellow lines mark the cluster redshift z = 0.307,  

Object #4163   x,y = (4772, 1631)   RA, Dec = (11:31:44.688, -19:56:15.00) = (172.93620, -19.93750)   BPZ = 6.252 [5.922--8.489]   type = 5.90 (Sbc_B10 - ES0_B10)   chisq2 = 0.00   ODDS = 0.50   z_cluster = 0.307