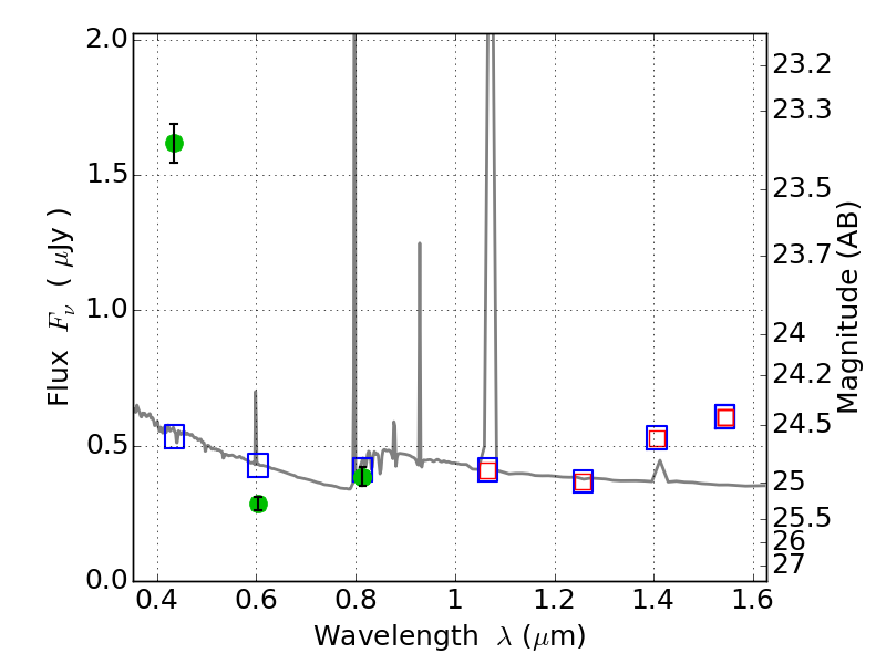
ABELL1300 ACS+IR detection object #3970

Color images and BPZ results
Catalog: 3970.cat
Black segments are analyzed here.   Roll mouse over color images to view segments.
Best viewed in a wide browser window (1200 pixels or more).   Download SED & P(z) plots to view larger versions.
In P(z) plots: Yellow lines mark the cluster redshift z = 0.307,  

Object #3970   x,y = (942, 1671)   RA, Dec = (11:32:00.984, -19:56:12.48) = (173.00410, -19.93680)   BPZ = 1.144 [1.012--1.712]   type = 11.00 (SB11_A_0_l)   chisq2 = 186.70   ODDS = 0.60   z_cluster = 0.307