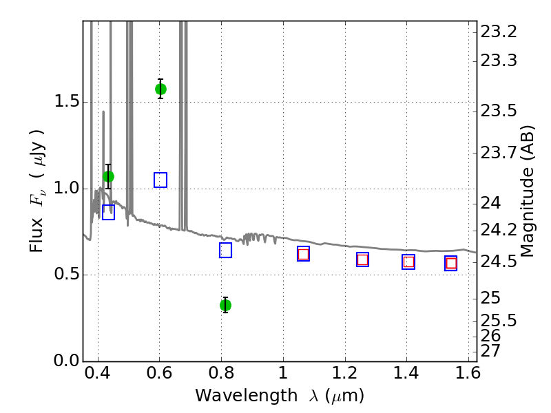
ABELL1300 ACS+IR detection object #3966

Color images and BPZ results
Catalog: 3966.cat
Black segments are analyzed here.   Roll mouse over color images to view segments.
Best viewed in a wide browser window (1200 pixels or more).   Download SED & P(z) plots to view larger versions.
In P(z) plots: Yellow lines mark the cluster redshift z = 0.307,  

Object #3966   x,y = (953, 1582)   RA, Dec = (11:32:00.936, -19:56:17.88) = (173.00390, -19.93830)   BPZ = 0.019 [0.010--0.032]   type = 11.00 (SB11_A_0_l)   chisq2 = 68.69   ODDS = 1.00   z_cluster = 0.307