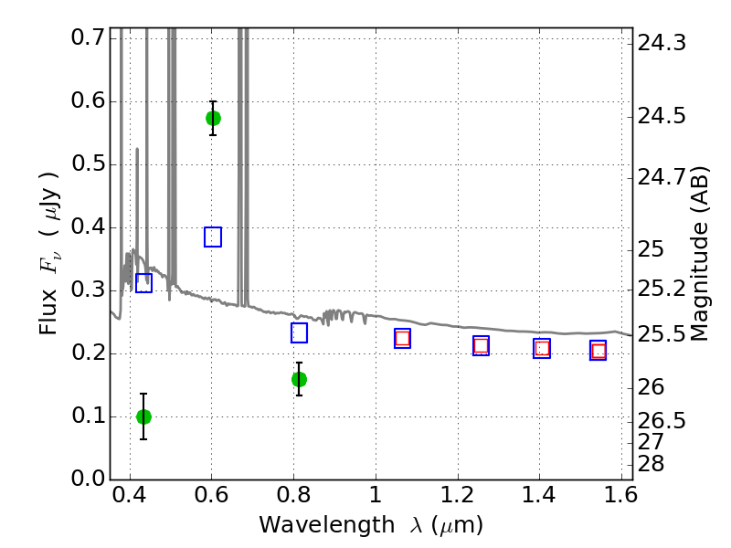
ABELL1300 ACS+IR detection object #3965
Color images and BPZ results
Catalog: 3965.cat
Black segments are analyzed here. Roll mouse over color images to view segments.
Best viewed in a wide browser window (1200 pixels or more). Download SED & P(z) plots to view larger versions.
In P(z) plots: Yellow lines mark the cluster redshift z = 0.307,
Object #3965 x,y = (958, 1637) RA, Dec = (11:32:00.912, -19:56:14.64) = (173.00380, -19.93740) BPZ = 0.018 [0.010--0.042] type = 11.00 (SB11_A_0_l) chisq2 = 56.39 ODDS = 1.00 z_cluster = 0.307