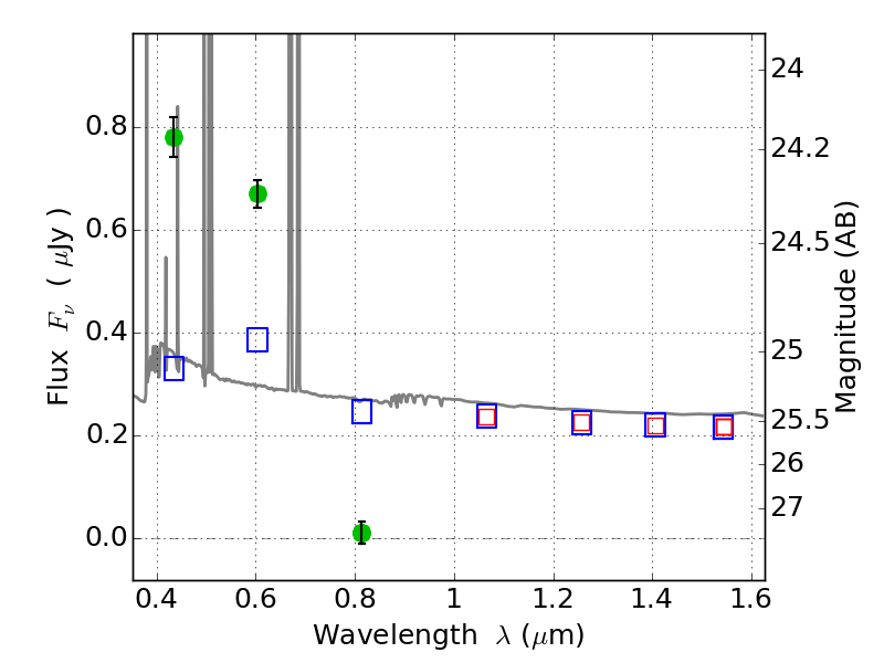
ABELL1300 ACS+IR detection object #378

Color images and BPZ results
Catalog: 378.cat
Black segments are analyzed here.   Roll mouse over color images to view segments.
Best viewed in a wide browser window (1200 pixels or more).   Download SED & P(z) plots to view larger versions.
In P(z) plots: Yellow lines mark the cluster redshift z = 0.307,  

Object #378   x,y = (3644, 4183)   RA, Dec = (11:31:49.488, -19:53:42.00) = (172.95620, -19.89500)   BPZ = 0.017 [0.010--0.033]   type = 11.00 (SB11_A_0_l)   chisq2 = 247.50   ODDS = 1.00   z_cluster = 0.307