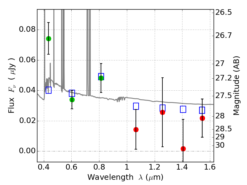
ABELL1300 ACS+IR detection object #3551

Color images and BPZ results
Catalog: 3551.cat
Black segments are analyzed here.   Roll mouse over color images to view segments.
Best viewed in a wide browser window (1200 pixels or more).   Download SED & P(z) plots to view larger versions.
In P(z) plots: Yellow lines mark the cluster redshift z = 0.307,  

Object #3551   x,y = (2420, 1989)   RA, Dec = (11:31:54.696, -19:55:53.40) = (172.97790, -19.93150)   BPZ = 0.095 [0.084--2.630]   type = 11.00 (SB11_A_0_l)   chisq2 = 1.95   ODDS = 0.14   z_cluster = 0.307