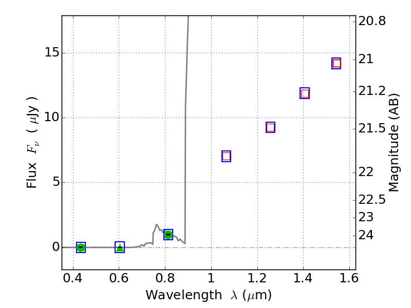
ABELL1300 ACS+IR detection object #3502

Color images and BPZ results
Catalog: 3502.cat
Black segments are analyzed here.   Roll mouse over color images to view segments.
Best viewed in a wide browser window (1200 pixels or more).   Download SED & P(z) plots to view larger versions.
In P(z) plots: Yellow lines mark the cluster redshift z = 0.307,  

Object #3502   x,y = (4610, 2008)   RA, Dec = (11:31:45.384, -19:55:52.32) = (172.93910, -19.93120)   BPZ = 6.296 [5.948--8.845]   type = 6.00 (Sbc_B10)   chisq2 = 0.00   ODDS = 0.40   z_cluster = 0.307