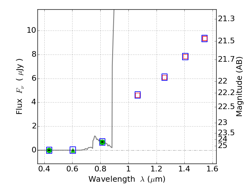
ABELL1300 ACS+IR detection object #3435

Color images and BPZ results
Catalog: 3435.cat
Black segments are analyzed here.   Roll mouse over color images to view segments.
Best viewed in a wide browser window (1200 pixels or more).   Download SED & P(z) plots to view larger versions.
In P(z) plots: Yellow lines mark the cluster redshift z = 0.307,  

Object #3435   x,y = (800, 2037)   RA, Dec = (11:32:01.584, -19:55:50.52) = (173.00660, -19.93070)   BPZ = 6.273 [5.871--8.869]   type = 6.00 (Sbc_B10)   chisq2 = 0.00   ODDS = 0.39   z_cluster = 0.307