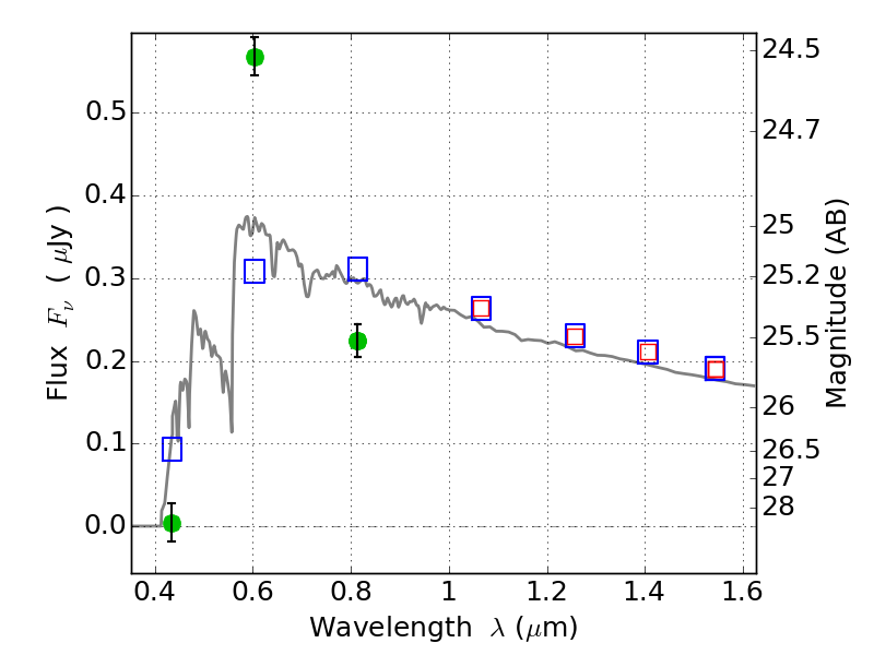
ABELL1300 ACS+IR detection object #3350

Color images and BPZ results
Catalog: 3350.cat
Black segments are analyzed here.   Roll mouse over color images to view segments.
Best viewed in a wide browser window (1200 pixels or more).   Download SED & P(z) plots to view larger versions.
In P(z) plots: Yellow lines mark the cluster redshift z = 0.307,  

Object #3350   x,y = (751, 2082)   RA, Dec = (11:32:01.800, -19:55:48.00) = (173.00750, -19.93000)   BPZ = 3.593 [3.459--3.666]   type = 11.00 (SB11_A_0_l)   chisq2 = 97.70   ODDS = 1.00   z_cluster = 0.307