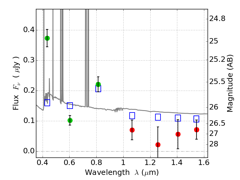
ABELL1300 ACS+IR detection object #3286

Color images and BPZ results
Catalog: 3286.cat
Black segments are analyzed here.   Roll mouse over color images to view segments.
Best viewed in a wide browser window (1200 pixels or more).   Download SED & P(z) plots to view larger versions.
In P(z) plots: Yellow lines mark the cluster redshift z = 0.307,  

Object #3286   x,y = (2758, 2359)   RA, Dec = (11:31:53.256, -19:55:31.44) = (172.97190, -19.92540)   BPZ = 0.098 [0.080--0.963]   type = 11.00 (SB11_A_0_l)   chisq2 = 8.51   ODDS = 0.75   z_cluster = 0.307