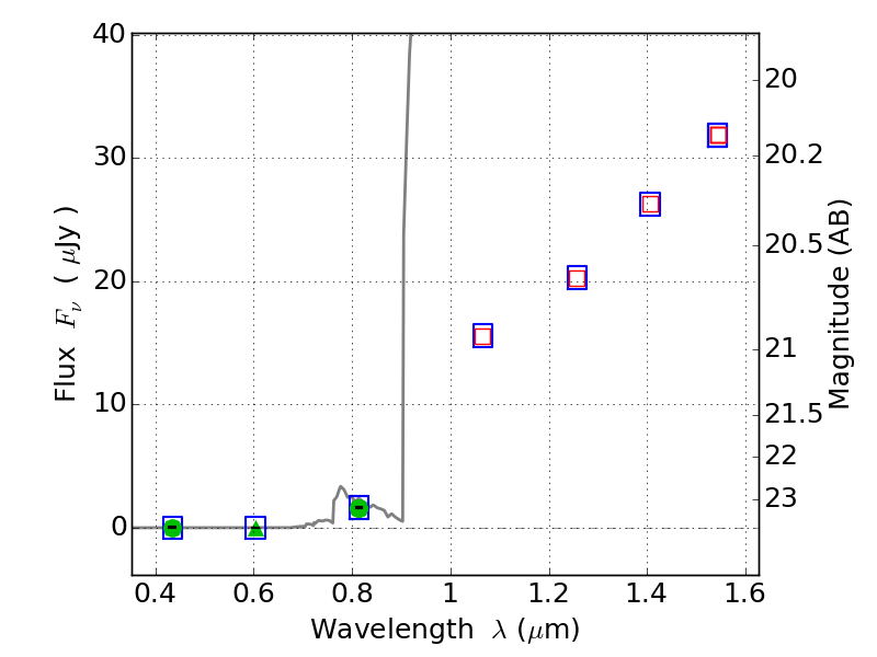
ABELL1300 ACS+IR detection object #3257
Color images and BPZ results
Catalog: 3257.cat
Black segments are analyzed here. Roll mouse over color images to view segments.
Best viewed in a wide browser window (1200 pixels or more). Download SED & P(z) plots to view larger versions.
In P(z) plots: Yellow lines mark the cluster redshift z = 0.307,
Object #3257 x,y = (754, 2108) RA, Dec = (11:32:01.800, -19:55:46.20) = (173.00750, -19.92950) BPZ = 6.429 [6.041--8.720] type = 6.00 (Sbc_B10) chisq2 = 0.00 ODDS = 0.46 z_cluster = 0.307