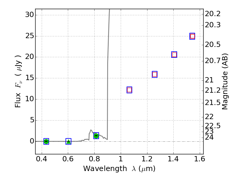
ABELL1300 ACS+IR detection object #3255

Color images and BPZ results
Catalog: 3255.cat
Black segments are analyzed here.   Roll mouse over color images to view segments.
Best viewed in a wide browser window (1200 pixels or more).   Download SED & P(z) plots to view larger versions.
In P(z) plots: Yellow lines mark the cluster redshift z = 0.307,  

Object #3255   x,y = (757, 2103)   RA, Dec = (11:32:01.776, -19:55:46.56) = (173.00740, -19.92960)   BPZ = 6.405 [6.013--8.800]   type = 6.00 (Sbc_B10)   chisq2 = 0.00   ODDS = 0.44   z_cluster = 0.307