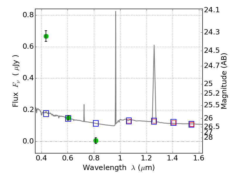
ABELL1300 ACS+IR detection object #3248

Color images and BPZ results
Catalog: 3248.cat
Black segments are analyzed here.   Roll mouse over color images to view segments.
Best viewed in a wide browser window (1200 pixels or more).   Download SED & P(z) plots to view larger versions.
In P(z) plots: Yellow lines mark the cluster redshift z = 0.307,  

Object #3248   x,y = (4537, 2145)   RA, Dec = (11:31:45.696, -19:55:44.04) = (172.94040, -19.92890)   BPZ = 1.593 [1.449--2.107]   type = 11.00 (SB11_A_0_l)   chisq2 = 229.70   ODDS = 0.55   z_cluster = 0.307