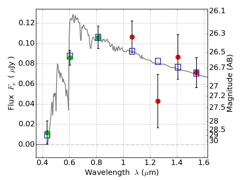
ABELL1300 ACS+IR detection object #3026

Color images and BPZ results
Catalog: 3026.cat
Black segments are analyzed here.   Roll mouse over color images to view segments.
Best viewed in a wide browser window (1200 pixels or more).   Download SED & P(z) plots to view larger versions.
In P(z) plots: Yellow lines mark the cluster redshift z = 0.307,  

Object #3026   x,y = (2103, 2278)   RA, Dec = (11:31:56.040, -19:55:36.12) = (172.98350, -19.92670)   BPZ = 3.895 [3.609--4.114]   type = 10.70 (SB11_A_0_l - SB3_B10)   chisq2 = 0.43   ODDS = 0.87   z_cluster = 0.307