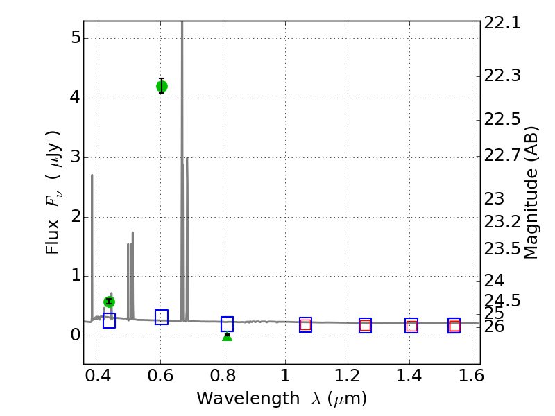
ABELL1300 ACS+IR detection object #2997

Color images and BPZ results
Catalog: 2997.cat
Black segments are analyzed here.   Roll mouse over color images to view segments.
Best viewed in a wide browser window (1200 pixels or more).   Download SED & P(z) plots to view larger versions.
In P(z) plots: Yellow lines mark the cluster redshift z = 0.307,  

Object #2997   x,y = (693, 2291)   RA, Dec = (11:32:02.040, -19:55:35.40) = (173.00850, -19.92650)   BPZ = 0.018 [0.010--0.038]   type = 11.00 (SB11_A_0_l)   chisq2 = 1078.00   ODDS = 1.00   z_cluster = 0.307