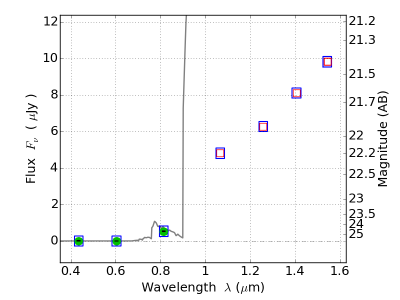
ABELL1300 ACS+IR detection object #2946

Color images and BPZ results
Catalog: 2946.cat
Black segments are analyzed here.   Roll mouse over color images to view segments.
Best viewed in a wide browser window (1200 pixels or more).   Download SED & P(z) plots to view larger versions.
In P(z) plots: Yellow lines mark the cluster redshift z = 0.307,  

Object #2946   x,y = (693, 2323)   RA, Dec = (11:32:02.040, -19:55:33.60) = (173.00850, -19.92600)   BPZ = 6.404 [5.997--9.016]   type = 6.00 (Sbc_B10)   chisq2 = 0.00   ODDS = 0.39   z_cluster = 0.307