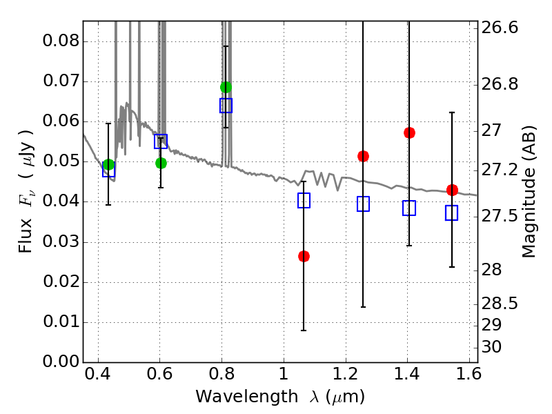
ABELL1300 ACS+IR detection object #2695
Color images and BPZ results
Catalog: 2695.cat
Black segments are analyzed here. Roll mouse over color images to view segments.
Best viewed in a wide browser window (1200 pixels or more). Download SED & P(z) plots to view larger versions.
In P(z) plots: Yellow lines mark the cluster redshift z = 0.307,
Object #2695 x,y = (1376, 2485) RA, Dec = (11:31:59.136, -19:55:23.88) = (172.99640, -19.92330) BPZ = 0.231 [0.097--2.797] type = 11.00 (SB11_A_0_l) chisq2 = 0.32 ODDS = 0.24 z_cluster = 0.307