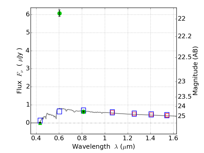
ABELL1300 ACS+IR detection object #2642

Color images and BPZ results
Catalog: 2642.cat
Black segments are analyzed here.   Roll mouse over color images to view segments.
Best viewed in a wide browser window (1200 pixels or more).   Download SED & P(z) plots to view larger versions.
In P(z) plots: Yellow lines mark the cluster redshift z = 0.307,  

Object #2642   x,y = (4381, 2544)   RA, Dec = (11:31:46.368, -19:55:20.28) = (172.94320, -19.92230)   BPZ = 3.743 [3.645--3.842]   type = 11.00 (SB11_A_0_l)   chisq2 = 872.80   ODDS = 1.00   z_cluster = 0.307