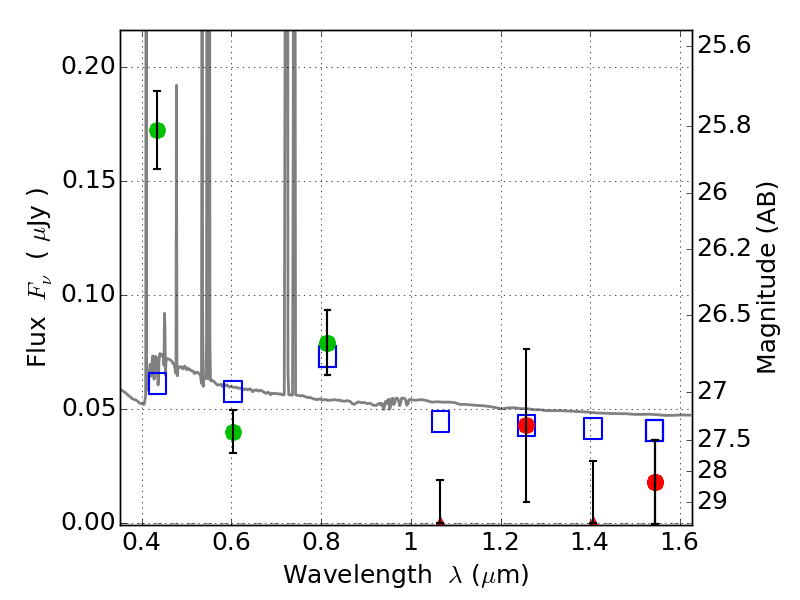
ABELL1300 ACS+IR detection object #2628

Color images and BPZ results
Catalog: 2628.cat
Black segments are analyzed here.   Roll mouse over color images to view segments.
Best viewed in a wide browser window (1200 pixels or more).   Download SED & P(z) plots to view larger versions.
In P(z) plots: Yellow lines mark the cluster redshift z = 0.307,  

Object #2628   x,y = (2740, 2532)   RA, Dec = (11:31:53.328, -19:55:21.00) = (172.97220, -19.92250)   BPZ = 0.097 [0.081--2.437]   type = 11.00 (SB11_A_0_l)   chisq2 = 7.69   ODDS = 0.34   z_cluster = 0.307