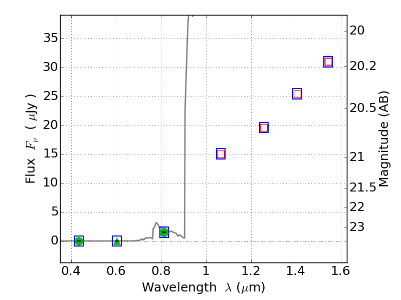
ABELL1300 ACS+IR detection object #2601

Color images and BPZ results
Catalog: 2601.cat
Black segments are analyzed here.   Roll mouse over color images to view segments.
Best viewed in a wide browser window (1200 pixels or more).   Download SED & P(z) plots to view larger versions.
In P(z) plots: Yellow lines mark the cluster redshift z = 0.307,  

Object #2601   x,y = (4350, 2554)   RA, Dec = (11:31:46.488, -19:55:19.56) = (172.94370, -19.92210)   BPZ = 6.447 [6.056--8.760]   type = 6.00 (Sbc_B10)   chisq2 = 0.00   ODDS = 0.45   z_cluster = 0.307