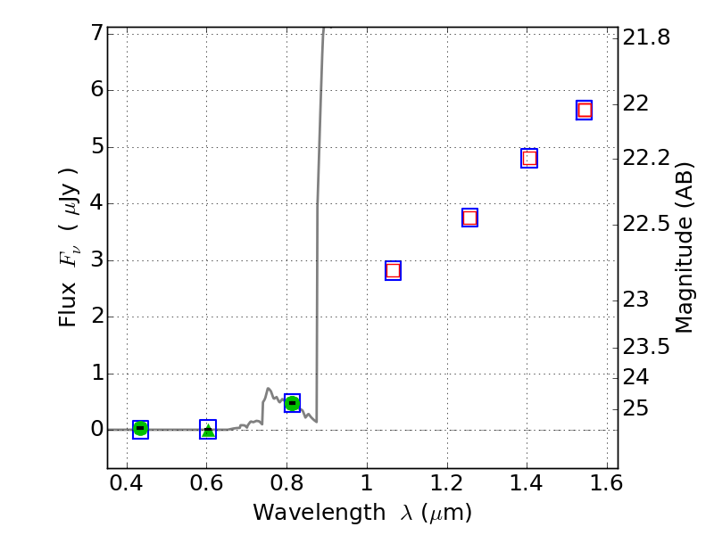
ABELL1300 ACS+IR detection object #2438

Color images and BPZ results
Catalog: 2438.cat
Black segments are analyzed here.   Roll mouse over color images to view segments.
Best viewed in a wide browser window (1200 pixels or more).   Download SED & P(z) plots to view larger versions.
In P(z) plots: Yellow lines mark the cluster redshift z = 0.307,  

Object #2438   x,y = (4322, 2643)   RA, Dec = (11:31:46.608, -19:55:14.16) = (172.94420, -19.92060)   BPZ = 6.213 [5.755--9.038]   type = 6.00 (Sbc_B10)   chisq2 = 0.01   ODDS = 0.37   z_cluster = 0.307