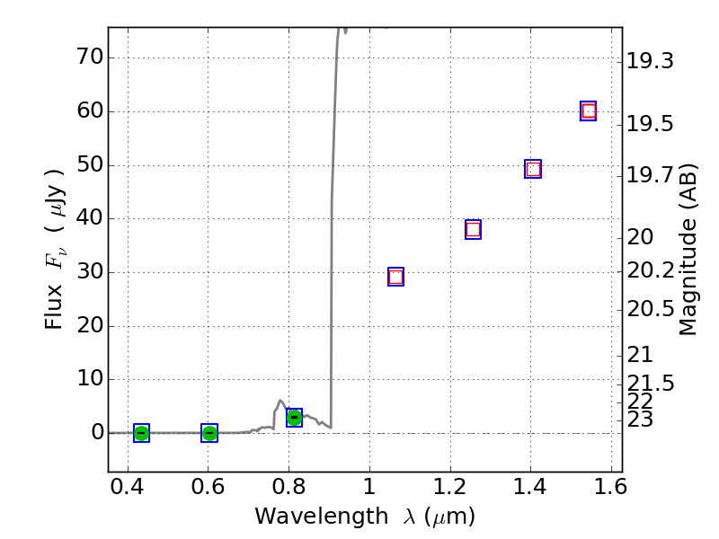
ABELL1300 ACS+IR detection object #2314

Color images and BPZ results
Catalog: 2314.cat
Black segments are analyzed here.   Roll mouse over color images to view segments.
Best viewed in a wide browser window (1200 pixels or more).   Download SED & P(z) plots to view larger versions.
In P(z) plots: Yellow lines mark the cluster redshift z = 0.307,  

Object #2314   x,y = (4325, 2702)   RA, Dec = (11:31:46.608, -19:55:10.56) = (172.94420, -19.91960)   BPZ = 6.455 [6.191--8.666]   type = 6.00 (Sbc_B10)   chisq2 = 0.00   ODDS = 0.52   z_cluster = 0.307