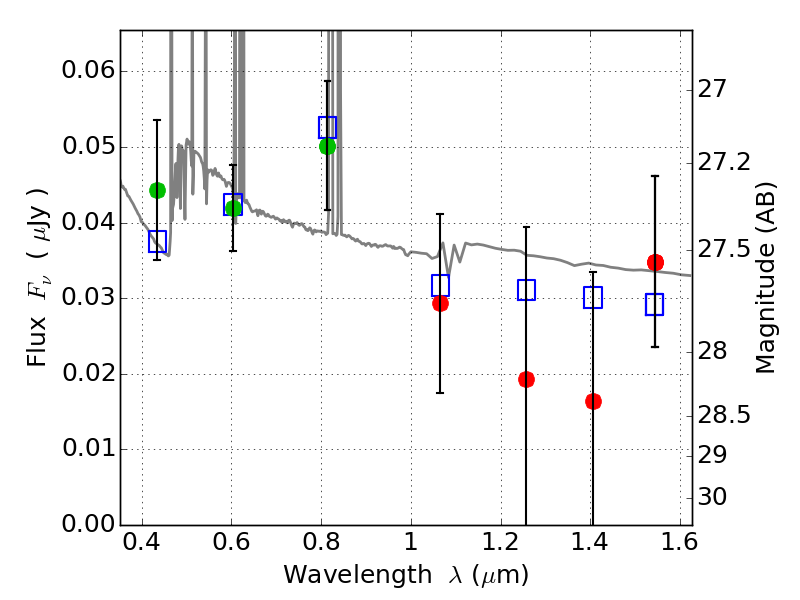
ABELL1300 ACS+IR detection object #2215

Color images and BPZ results
Catalog: 2215.cat
Black segments are analyzed here.   Roll mouse over color images to view segments.
Best viewed in a wide browser window (1200 pixels or more).   Download SED & P(z) plots to view larger versions.
In P(z) plots: Yellow lines mark the cluster redshift z = 0.307,  

Object #2215   x,y = (2821, 2751)   RA, Dec = (11:31:52.992, -19:55:07.68) = (172.97080, -19.91880)   BPZ = 0.247 [0.095--3.187]   type = 11.00 (SB11_A_0_l)   chisq2 = 0.33   ODDS = 0.15   z_cluster = 0.307