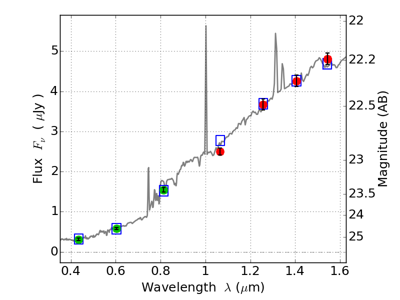
ABELL1300 ACS+IR detection object #2207

Color images and BPZ results
Catalog: 2207.cat
Black segments are analyzed here.   Roll mouse over color images to view segments.
Best viewed in a wide browser window (1200 pixels or more).   Download SED & P(z) plots to view larger versions.
In P(z) plots: Yellow lines mark the cluster redshift z = 0.307,  

Object #2207   x,y = (3872, 2743)   RA, Dec = (11:31:48.528, -19:55:08.40) = (172.95220, -19.91900)   BPZ = 1.000 [0.855--1.049]   type = 6.70 (Scd_B10 - Sbc_B10)   chisq2 = 0.16   ODDS = 0.90   z_cluster = 0.307