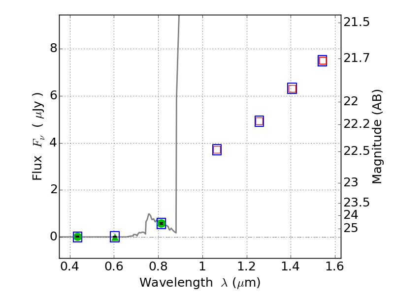
ABELL1300 ACS+IR detection object #2171

Color images and BPZ results
Catalog: 2171.cat
Black segments are analyzed here.   Roll mouse over color images to view segments.
Best viewed in a wide browser window (1200 pixels or more).   Download SED & P(z) plots to view larger versions.
In P(z) plots: Yellow lines mark the cluster redshift z = 0.307,  

Object #2171   x,y = (4270, 2771)   RA, Dec = (11:31:46.824, -19:55:06.60) = (172.94510, -19.91850)   BPZ = 6.252 [5.842--8.954]   type = 6.00 (Sbc_B10)   chisq2 = 0.00   ODDS = 0.38   z_cluster = 0.307