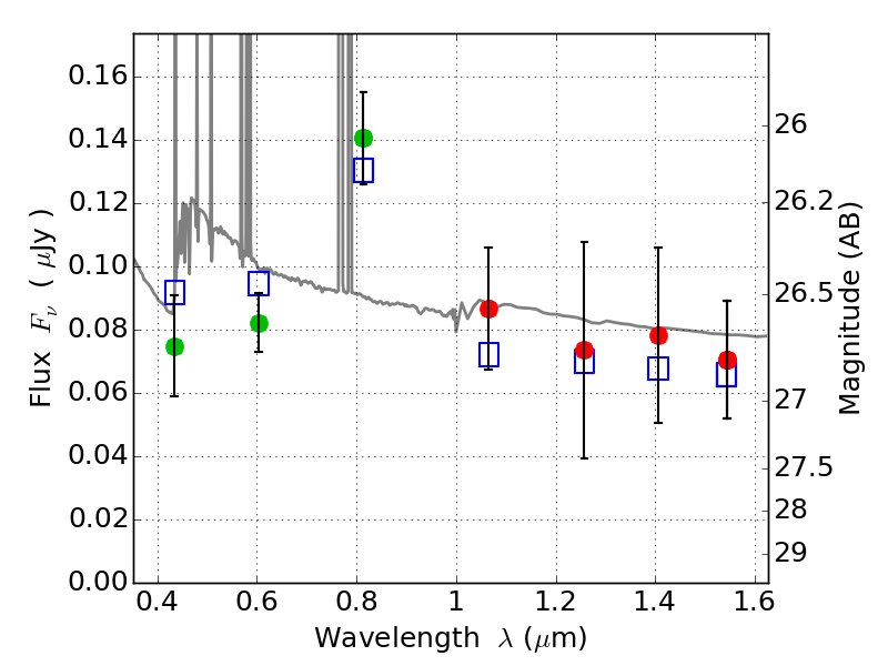
ABELL1300 ACS+IR detection object #2129

Color images and BPZ results
Catalog: 2129.cat
Black segments are analyzed here.   Roll mouse over color images to view segments.
Best viewed in a wide browser window (1200 pixels or more).   Download SED & P(z) plots to view larger versions.
In P(z) plots: Yellow lines mark the cluster redshift z = 0.307,  

Object #2129   x,y = (2242, 2793)   RA, Dec = (11:31:55.464, -19:55:05.16) = (172.98110, -19.91810)   BPZ = 0.169 [0.096--0.466]   type = 11.00 (SB11_A_0_l)   chisq2 = 0.47   ODDS = 0.58   z_cluster = 0.307