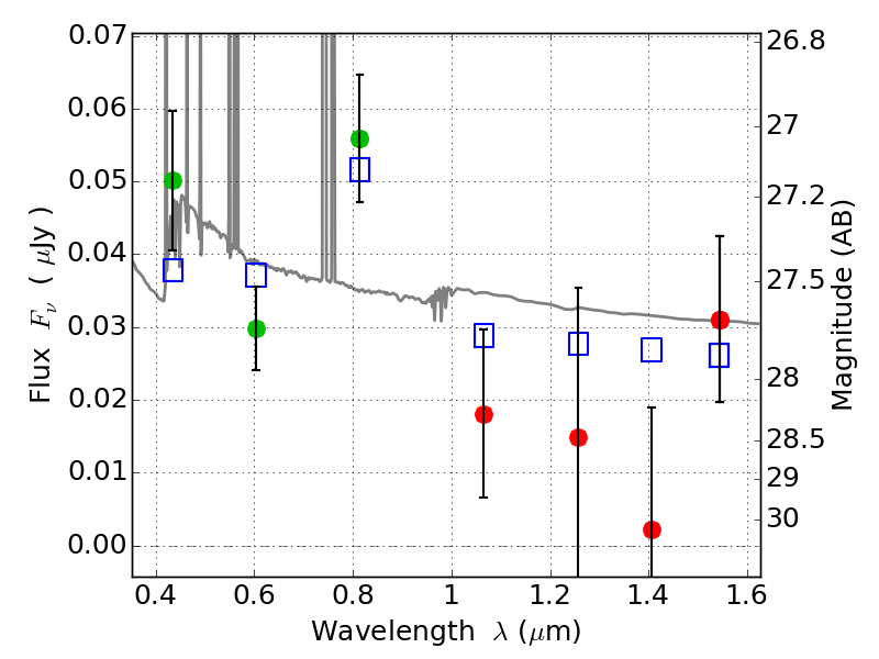
ABELL1300 ACS+IR detection object #2066

Color images and BPZ results
Catalog: 2066.cat
Black segments are analyzed here.   Roll mouse over color images to view segments.
Best viewed in a wide browser window (1200 pixels or more).   Download SED & P(z) plots to view larger versions.
In P(z) plots: Yellow lines mark the cluster redshift z = 0.307,  

Object #2066   x,y = (2774, 2821)   RA, Dec = (11:31:53.208, -19:55:03.72) = (172.97170, -19.91770)   BPZ = 0.127 [0.087--0.981]   type = 11.00 (SB11_A_0_l)   chisq2 = 0.98   ODDS = 0.50   z_cluster = 0.307