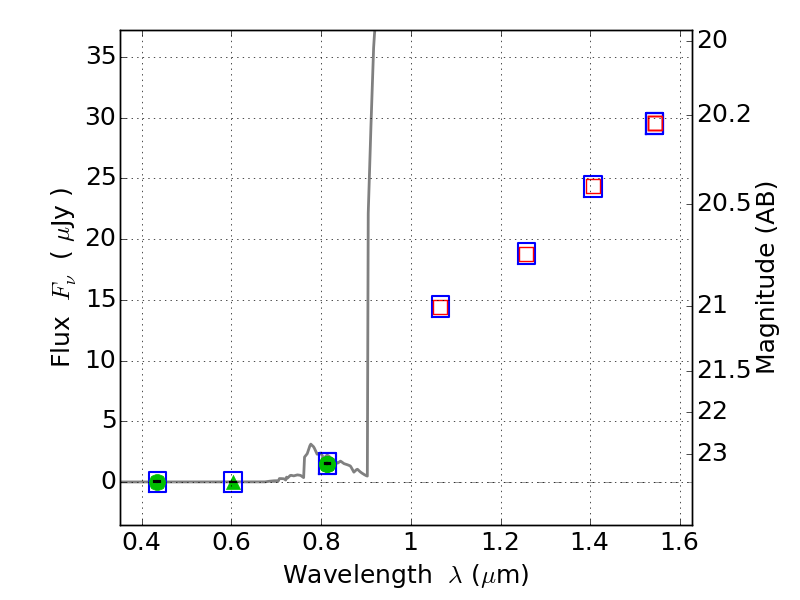
ABELL1300 ACS+IR detection object #1981

Color images and BPZ results
Catalog: 1981.cat
Black segments are analyzed here.   Roll mouse over color images to view segments.
Best viewed in a wide browser window (1200 pixels or more).   Download SED & P(z) plots to view larger versions.
In P(z) plots: Yellow lines mark the cluster redshift z = 0.307,  

Object #1981   x,y = (422, 2903)   RA, Dec = (11:32:03.192, -19:54:58.68) = (173.01330, -19.91630)   BPZ = 6.427 [6.029--8.769]   type = 6.00 (Sbc_B10)   chisq2 = 0.00   ODDS = 0.45   z_cluster = 0.307