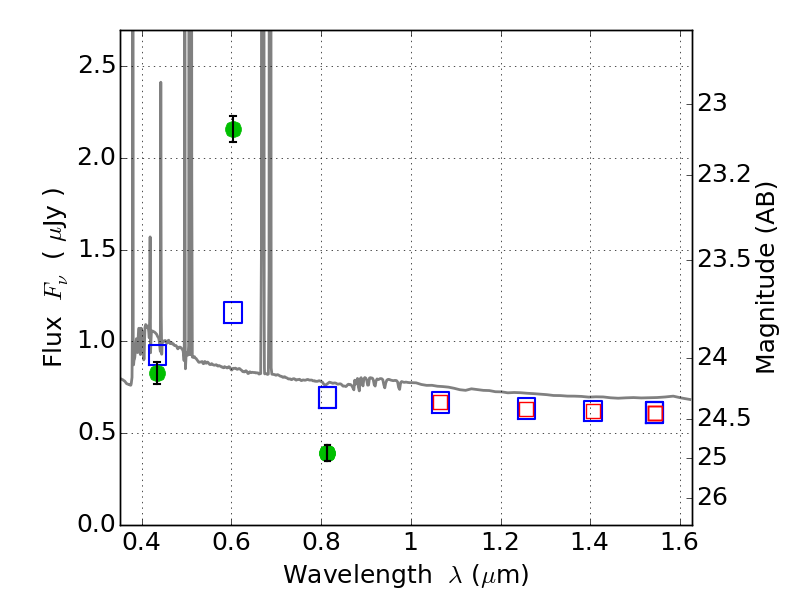
ABELL1300 ACS+IR detection object #1883
Color images and BPZ results
Catalog: 1883.cat
Black segments are analyzed here. Roll mouse over color images to view segments.
Best viewed in a wide browser window (1200 pixels or more). Download SED & P(z) plots to view larger versions.
In P(z) plots: Yellow lines mark the cluster redshift z = 0.307,
Object #1883 x,y = (4171, 3034) RA, Dec = (11:31:47.256, -19:54:50.76) = (172.94690, -19.91410) BPZ = 0.016 [0.010--0.031] type = 11.00 (SB11_A_0_l) chisq2 = 114.90 ODDS = 1.00 z_cluster = 0.307