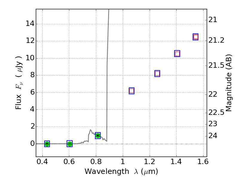
ABELL1300 ACS+IR detection object #1778

Color images and BPZ results
Catalog: 1778.cat
Black segments are analyzed here.   Roll mouse over color images to view segments.
Best viewed in a wide browser window (1200 pixels or more).   Download SED & P(z) plots to view larger versions.
In P(z) plots: Yellow lines mark the cluster redshift z = 0.307,  

Object #1778   x,y = (224, 3324)   RA, Dec = (11:32:04.032, -19:54:33.48) = (173.01680, -19.90930)   BPZ = 6.256 [5.919--8.770]   type = 6.00 (Sbc_B10)   chisq2 = 0.00   ODDS = 0.44   z_cluster = 0.307