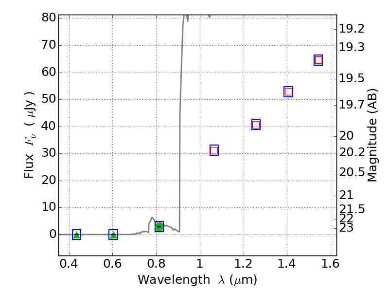
ABELL1300 ACS+IR detection object #1636

Color images and BPZ results
Catalog: 1636.cat
Black segments are analyzed here.   Roll mouse over color images to view segments.
Best viewed in a wide browser window (1200 pixels or more).   Download SED & P(z) plots to view larger versions.
In P(z) plots: Yellow lines mark the cluster redshift z = 0.307,  

Object #1636   x,y = (4133, 3087)   RA, Dec = (11:31:47.424, -19:54:47.52) = (172.94760, -19.91320)   BPZ = 6.472 [6.192--8.470]   type = 6.00 (Sbc_B10)   chisq2 = 0.00   ODDS = 0.51   z_cluster = 0.307