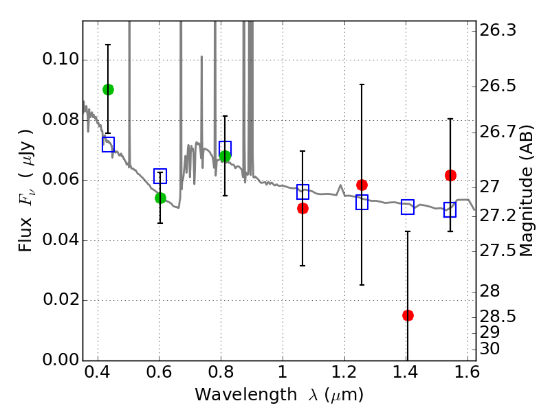
ABELL1300 ACS+IR detection object #1423

Color images and BPZ results
Catalog: 1423.cat
Black segments are analyzed here.   Roll mouse over color images to view segments.
Best viewed in a wide browser window (1200 pixels or more).   Download SED & P(z) plots to view larger versions.
In P(z) plots: Yellow lines mark the cluster redshift z = 0.307,  

Object #1423   x,y = (2619, 3211)   RA, Dec = (11:31:53.856, -19:54:40.32) = (172.97440, -19.91120)   BPZ = 0.799 [0.496--2.705]   type = 11.00 (SB11_A_0_l)   chisq2 = 0.69   ODDS = 0.11   z_cluster = 0.307