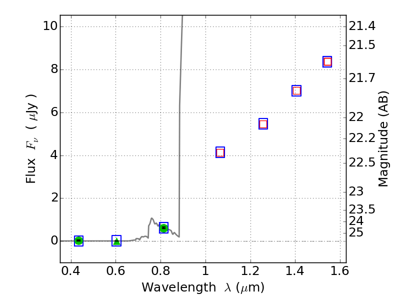
ABELL1300 ACS+IR detection object #120

Color images and BPZ results
Catalog: 120.cat
Black segments are analyzed here.   Roll mouse over color images to view segments.
Best viewed in a wide browser window (1200 pixels or more).   Download SED & P(z) plots to view larger versions.
In P(z) plots: Yellow lines mark the cluster redshift z = 0.307,  

Object #120   x,y = (3597, 4297)   RA, Dec = (11:31:49.704, -19:53:35.16) = (172.95710, -19.89310)   BPZ = 6.274 [5.876--8.950]   type = 6.00 (Sbc_B10)   chisq2 = 0.00   ODDS = 0.38   z_cluster = 0.307